Gumbeldf

From Eigenvector Documentation Wiki

Jump to: navigation, search

Contents

Purpose

Gumbel distribution.

Synopsis

prob = gumbeldf(function,x,a,b)

Description

Estimates cumulative distribution function (cumulative, cdf), probability density function (density, pdf), quantile (inverse of cdf), or random numbers for a Gumbel distribution.

This distribution is also known as the Type I extreme value distribution. It is an alternative to the Weibull distribution.

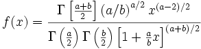
f(x) = \frac { \Gamma \left [ \frac {a+b} {2} \right ] \left ( a/b \right )^{a/2} x^{\left ( a-2 \right ) /2}} {\Gamma \left ( \frac {a} {2} \right ) \Gamma \left ( \frac {b} {2} \right ) \left [ 1+ \frac {a} {b} x \right ] ^{\left ( a+b \right )/2}}

Inputs

  • function = [ {'cumulative'} | 'density' | 'quantile' | 'random' ], defines the functionality to be used. Note that the function recognizes the first letter of each string so that the string could be: [ 'c' | 'd' | 'q' | 'r' ].
  • x = matrix in which the sample data is stored, in the interval (-inf,inf).
for function=quantile - matrix with values in the interval (0,1).
for function=random - vector indicating the size of the random matrix to create.
  • a = mode/location parameter (real).
  • b = scale parameter (real and positive).

Note: If inputs (x, a, and b) are not equal in size, the function will attempt to resize all inputs to the largest input using the RESIZE function.

Note: Functions will typically allow input values outside of the acceptable range to be passed but such values will return NaN in the results.

Examples

Cumulative

>> prob = gumbeldf('c',0.99,0.5,1)
prob =
    0.5419
>> x    = [0:0.1:10];
>> plot(x,gumbeldf('c',x,2),'b-',x,gumbeldf('c',x,0.5),'r-')

Density

>> prob = gumbeldf('d',0.99,0.5,1)
prob =
0.3320
>> x    = [0:0.1:10];
>> plot(x,gumbeldf('d',x,2),'b-',x,gumbeldf('d',x,0.5),'r-')

Quantile

>> prob = gumbeldf('q',0.99,0.5,1)
prob =
    5.1001

Random

>> prob = gumbeldf('r',[4 1],2,1)
ans =
    3.8437
    2.6508
    2.3566
    4.2479

See Also

betadf, cauchydf, chidf, expdf, gammadf, laplacedf, logisdf, lognormdf, normdf, paretodf, raydf, triangledf, unifdf, weibulldf

Views
Personal tools